Pilot MOU Proposal for a Collaboration between the Polkadot Ecosystem and the Founder Institute:
In the summer of 2023, Mr. Laurent Koehler, the Co-Director of the Founder Institute in Hong Kong, discussed his plans to launch a Web3 vertical in 2024 with me. His goal was to enhance business offerings for investors and applicants. As a growth Web3 Advisor at my company BQ9 and an active member of the Polkadot community, I found his vision particularly compelling. This prompted me to explore the unique opportunities it could present for the entire Polkadot ecosystem. Consequently, we began holding regular meetings where I contributed insights to help shape the program and evaluate the benefits of integrating with the Polkadot ecosystem. On March 15, 2024, Mr. Koehler and I formalized our collaboration, leading the Founder Institute to issue a Memorandum of Understanding (MOU) for Polkadot to onboard mentors and develop joint co-marketing initiatives.
**Timing: **We are living in crucial times for our industry towards mass adoption, and our initiatives are designed to help new startup founders learn about Polkadot's technology and its ecosystem, encouraging them to develop their projects within it. Given the nature of the Founder Institute, this collaboration is strategic and will enable the Polkadot ecosystem to gain essential exposure to new companies and projects, investors' networks, and to establish a presence and raise awareness within the Founder Institute network.
**Relevance: **The Founder Institute is recognized as the world's largest pre-seed startup accelerator. Founded in 2009 by Adeo Ressi and Jonathan Greechan, it was initially designed to provide early-stage startups with the structured process, feedback, and support network needed to succeed, which many entrepreneurs lacked at the time. This initiative started in Silicon Valley but quickly expanded globally due to high demand, now operating in over 200 cities and localized in nine languages. To date, the Founder Institute's alumni have raised over $1.75 billion in funding, and the estimated portfolio value of these companies exceeds $30 billion. Beyond initial startup acceleration, the Founder Institute also supports ongoing growth through post-program benefits like introductions to potential partners and investors. They maintain a robust network of over 35,000 mentors and advisors to assist in various aspects of business development. (The Founder Institute).
First-Mover Advantage: The Founder Institute is set to launch its very first Web3 cohort within its Core Program, signifying a landmark expansion into the field of Web3. This inaugural cohort, which begins on May 28, 2024, and concludes on September 3, 2024, represents a significant milestone in the Institute’s history. It will be hosted by the Hong Kong Chapter. This new track will delve key verticals of the Web3 domain and will feature guidance from esteemed mentors within the Web3.0. Polkadot will be a key program partner in the Founder Institute's historic first Web3 cohort, bringing support from its network of distinguished experts from the Polkadot Ecosystem. To inaugurate this chapter with them gives the first-mover advantage to our ecosystem.
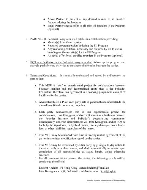
**Founder Institute Responsibilities. **Founder Institute shall undertake the following activities:
- Provide online and onsite branding for Partner on the website for the FII Program
- Introduce all enrolled founders in the Program to Partner Provide up to two (2) mentor slots for Partner as a mentor in the Program
- Allow Partner to present at any desired session to all enrolled founders during the Program Email
- Partner special offer to all enrolled founders in the Program (optional)
Polkadot, Responsibilities. Polkadot shall undertake the following activities:
- Recommend a mentor(s) from the ecosystem
- Present at the required program session(s) during the FII Program
- Provide any marketing collateral necessary and required by FII to use as branding on the website(s) for the FII Program
- Create a special offer for all enrolled founders in the Program (optional)
As previously mentioned, representatives from the Polkadot ecosystem will participate in the inaugural Web3 cohort from May 28, 2024, to September 3, 2024. However, our collaboration does not end there, since we will continue to recruit additional mentors for subsequent cohorts. Our goal is to understand the types of support founders seek from the Polkadot ecosystem and the innovative solutions they plan to introduce. We will use the insights gained from the first cohort to refine and enhance our engagement with the Founder Institute going forward.
Using this post on OpenGov as an MOU between Founder Institute & Polkadot.
MOU between Polkadot Ecosystem & Founder Institute
An MOU often serves as a formal agreement between parties, outlining their roles and responsibilities. However, since Polkadot is a decentralized software and needs to be supported by its community this MOU will be considered a liabilities exempt Pilot Project between the parties.. Consequently, Facilitators and Focal Points will perform to support the parties and will act free of liabilities as well. This method will ensure transparency and accessibility to all stakeholders within the community. Irina Karagyar, as a Polkadot Head Ambassador, as a representative, will sign the MOU posted on OpenGov only symbolically on behalf of Polkadot. This ensures that the agreement aligns with community decisions and the decentralized ethos of Polkadot. By following these steps, the MOU becomes a roadmap document, formalizing the agreement between Polkadot (represented by the Ambassador) and the Founder Institute.
An overview of the Founder Institute: https://www.youtube.com/watch?v=PBHc_3NgUo4
MOU:
For any further questions and collaboration opportunities, please do not hesitate to contact Irina Karagyuar, Co-Founder & CEO BQ9, Ecosystem Growth Agency, [email protected]
Comments (10)
Proposal Passed
Summary
0%
Aye
0%
Nay
Aye (66)0.0 DOT
Support0.0 DOT
Nay (27)0.0 DOT





Thank you Irina for everything you have done to make it happen, we would not be here today without your time and generous contribution to this project. I am very excited to start this partnership and to bring the bets support to Web3 founders and to the Polkadot ecosystem.
Thanks Irina for this initiative. Getting Polkadot in front of founders is more important than ever. With Ccoretime being introduced the entry barriers for the ecosystem will lower. We will have to make this known to founders.