Polkadot System Parachain Collators - Tips Q4/2023
Dear Polkadot community,
Collators on System Parachains are provided with minimal rewards for block production and small incentives in terms of transaction fees. This reduces incentives for Collators to act in a favorable manner and they may also be inclined to under-resourcing their hosts to save costs. Collators should receive funding for the provision of their services. Ultimately, this should be provided by the chain in a preferably sustainable manner. Implementation of such a system is a long-term solution. In the medium term, funding for collators can be provided by the respective Treasuries in the form of a bounty. This allows funding to be pre-allocated and independently managed.
This proposal is the final monthly operating costs payment for service providers in Q4 2023. The previous 2-month operation tip was approved under Referenda #156. Future cost compensation will be done under the Polkadot System Parachain Collators Bounty starting from January 2024.
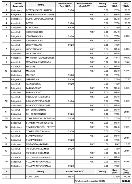
The proposal aims to secure 7,289.03 DOT for Collators on the Polkadot System Parachains network for services delivered for 3 months - 10-12/2023.
We encourage the Polkadot community to review this proposal and provide any feedback or suggestions.
Thank you!
Comments (3)
Requested
Proposal Passed
Summary
0%
Aye
0%
Nay
Aye (131)0.0 DOT
Support0.0 DOT
Nay (30)0.0 DOT

Is there any update on the self-reporting of every collator's network used? As of today, no infrastructure information is available from any collator on this document. There is proof that Kusama AssetHub had Hetzner infrastructure (https://statemine.polkawatch.app/network/) something that turns operations dangerous as Hetzner could turn off their servers based on their ToS (https://twitter.com/saxemberg/status/1563172259401187330) Hetzner has already acted upon it too in the case of Solana (https://solanachain.news/cloud-service-provider-hetzner-blocks-access-for-solana-validators-over-tos-breach/2022/11/03/.)
@saxemberg
In response to these concerns, I want to highlight that the development and funding of a monitoring solution to address these issues is indeed being considered. This is outlined in Section 6 of the upcoming Bounty proposal describing the plan to implement a system that will monitor and report on the infrastructure used by collators, thereby increasing transparency and helping to mitigate risks.
This proposal does not include development funds beyond the monthly costs associated with collating. The focus is primarily on operational expenses rather than development.
On a security note, the network can withstand multiple collators being shut down simultaneously so operational risks regarding collation are minimal.
I hope this clarifies the current situation and the steps being taken to improve it. Your vigilance in these matters is greatly appreciated, as it helps us all work towards a more secure and reliable network.
Hi CoinStudio, Thank you for submitting this proposal. Ivy is supportive of this proposal. AssetHub is critical to Polkadot's future as a system parachain and we anticipate that activity on AssetHub will increase in the short-to-medium term, meaning that these collators will be able to sustain operations from that increased activity. That said, we would like to see efforts to drive utilizationo of AssetHub which are not in the control of these collators. Best, Ivy